"Software gehört zu den komplexesten Artefakten, die Menschen bislang geschaffen haben. Der Aufwand, um Software zu entwickeln, ist darum auch unvermeidlich sehr hoch", bringt der deutsche Informatikprofessor Jochen Ludewig (2010) das Kernproblem auf den Punkt. Diese Komplexität beeinflusst Requirements Engineering auf mehreren Ebenen.
Ein Problem sind die wachsende Anzahl an Stakeholdern, verbunden mit einer Vielzahl von Anforderungen und der Gefahr der Informationsüberlastung in Softwareprojekten. Ferner erschweren folgende Faktoren die Gewinnung und den Umgang mit Anforderungen über den Entwickungsprozess hinweg (Katina et al., 2012):
1) Verschieden und teils gegensätzliche Perspektiven der Interessengruppen. 2) Ein hohes Maß an Widersprüchlichkeit und Unsicherheit. 3) Inkorrekte, unvollständige oder nicht existierende Anforderungen. 4) Eingeschränktes Problem- oder Bedürfnisverständnis. 5) Hohe Kontextabhängigkeit.
Katina et al (2012) stellen die klassischen Methoden der Anforderungsanalyse im Kontext solcher komplexen Projektumgebungen in Bezug auf ihre Eignung in Frage. Sie identifizieren einen Bedarf an der Weiterentwicklung und Verbesserung aktueller Methoden und Werkzeuge im RE. Ein Lösungsansatz besteht in einem Framework, das zum einen speziell den Umgang mit Anforderungen in komplexen Situationen adressiert sowie eine Grundlage zur Beurteilung der Tauglichkeit traditioneller Methoden in komplexen Projektumgebungen bietet.
Im Fokus stehen drei vorrangige Aspekte: die persönliche Dispositionen der beteiligten Interessensgruppen (System Observer), die Natur der Systemanforderungen sowie die Umgebung, welche das System beeinflusst. An dieser Stelle können nicht alle diese Aspekte beschrieben werden. Ich beschränke mich daher beispielhaft auf einen ausgewählten Aspekt im Kontext der System Observer.
Der Begriff System Observer umfasst alle beteiligten Personen, dies kann der Systemeigner, -Designer, -Analyst oder Anwender sein. Ihre prominente Rolle für das RE liegt darin begründet, dass System Observer in Bezug auf die Anforderungen formulieren, priorisieren, Entscheidungen treffen sowie über einzusetzende Methoden und Werkzeuge bestimmen.
Jeder System Observer unterliegt verschiedenen Dispositionen, hierzu zählt u. A. seine „Nature of Reality“. Die Autoren bedienen sich dabei philosophischer Konzepte. Die „Nature of Reality“ betrachtet die Sichtweise, mit der ein System Observer die Welt versteht. Eine realistische Perspektive geht in Bezug auf RE von einem objektiven und wiederholbaren Prozess der Anforderungserhebung aus, der einer Absolutheit und Stabilität unterliegt. Hingegen liegt im Nominalismus die Annahme vor, dass der Prozess der Anforderungserhebung ein Konstrukt des Stakeholders ist, der keiner absoluten Realität unterliegen kann. Während im traditionellen Requirements Engineering eine realistische Sichtweise erwünscht ist, erachten Katina et al.(2012) im Kontext komplexer Umgebungen eine nominale Perspektive für sinnvoll.
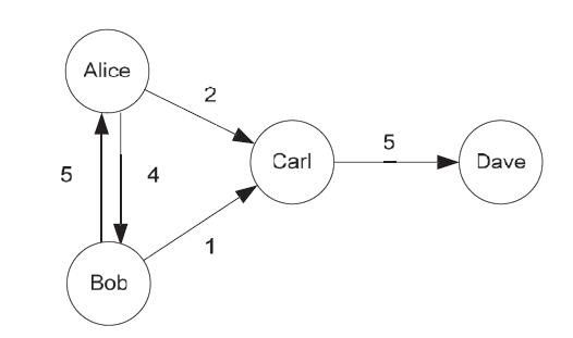
StakeRare - Anforderungen in Large-Scale-Projekten
Die Erhebung und Priorisierung von Anforderungen in großen Softwareprojekten mit hunderten oder tausenden von Stakeholdern bedarf neuer Methoden, da klassische Erhebungsmethoden wie Face-to-Face-Interviews, Brainstorming oder Fokusgruppen selten möglich sind. Das Projekt StakeRare nutzt die Konzepte sozialer Netzwerke und kollaborativer Filter für die Anforderungsgewinnung in solchen Large-Scale-Projekten (Lim und Finkelstein, 2012). Die grundlegenden Vorüberlegungen zur Entwicklung dieser Methode waren: Identifikation und Priorisierung von Stakeholdern auf einer globalen Basis, Skalierbarkeit, Vermeiden einer Informationsüberflutung des Stakeholders und Requirements Engineers.
Abb. 6: Beispiel eines Stakeholder-Netzwerks
(Quelle: Lim und Finkelstein, 2012)
Für die Identifikation und Priorisierung von Anforderungen nutzt StakeRare eine spezielle Analysemethode. Hierzu werden initial Stakeholder identifiziert, die wiederum weitere Stakeholder sowie Stakeholder-Rollen empfehlen. Basierend auf diesen Daten wird ein soziales Netzwerk aus Stakeholdern gebildet, bestehend aus Stakeholder-Nodes und ihren Empfehlungen, repräsentiert als Links (Abbildung 6). Mittels Maßzahlen werden die Stakeholder anschließend priorisiert und in Bezug auf ihren Einfluss bewertet.
In den folgenden Schritten werden von jedem Stakeholder Profile gesammelt. Eine initiale Liste von möglichen Anforderungen kann über klassische Erhebungsmethoden wie Fokusgruppen erstellt werden. Diese initialen Anforderungen werden von den in Schritt 1 identifizierten Stakeholdern priorisiert oder auch abgelehnt, oder die Stakeholder fügen eigene Anforderungen hinzu.
Stand: 08.12.2025
Es ist für uns eine Selbstverständlichkeit, dass wir verantwortungsvoll mit Ihren personenbezogenen Daten umgehen. Sofern wir personenbezogene Daten von Ihnen erheben, verarbeiten wir diese unter Beachtung der geltenden Datenschutzvorschriften. Detaillierte Informationen finden Sie in unserer Datenschutzerklärung.
Einwilligung in die Verwendung von Daten zu Werbezwecken
Ich bin damit einverstanden, dass die Vogel Communications Group GmbH & Co. KG, Max-Planckstr. 7-9, 97082 Würzburg einschließlich aller mit ihr im Sinne der §§ 15 ff. AktG verbundenen Unternehmen (im weiteren: Vogel Communications Group) meine E-Mail-Adresse für die Zusendung von redaktionellen Newslettern nutzt. Auflistungen der jeweils zugehörigen Unternehmen können hier abgerufen werden.
Der Newsletterinhalt erstreckt sich dabei auf Produkte und Dienstleistungen aller zuvor genannten Unternehmen, darunter beispielsweise Fachzeitschriften und Fachbücher, Veranstaltungen und Messen sowie veranstaltungsbezogene Produkte und Dienstleistungen, Print- und Digital-Mediaangebote und Services wie weitere (redaktionelle) Newsletter, Gewinnspiele, Lead-Kampagnen, Marktforschung im Online- und Offline-Bereich, fachspezifische Webportale und E-Learning-Angebote. Wenn auch meine persönliche Telefonnummer erhoben wurde, darf diese für die Unterbreitung von Angeboten der vorgenannten Produkte und Dienstleistungen der vorgenannten Unternehmen und Marktforschung genutzt werden.
Meine Einwilligung umfasst zudem die Verarbeitung meiner E-Mail-Adresse und Telefonnummer für den Datenabgleich zu Marketingzwecken mit ausgewählten Werbepartnern wie z.B. LinkedIN, Google und Meta. Hierfür darf die Vogel Communications Group die genannten Daten gehasht an Werbepartner übermitteln, die diese Daten dann nutzen, um feststellen zu können, ob ich ebenfalls Mitglied auf den besagten Werbepartnerportalen bin. Die Vogel Communications Group nutzt diese Funktion zu Zwecken des Retargeting (Upselling, Crossselling und Kundenbindung), der Generierung von sog. Lookalike Audiences zur Neukundengewinnung und als Ausschlussgrundlage für laufende Werbekampagnen. Weitere Informationen kann ich dem Abschnitt „Datenabgleich zu Marketingzwecken“ in der Datenschutzerklärung entnehmen.
Falls ich im Internet auf Portalen der Vogel Communications Group einschließlich deren mit ihr im Sinne der §§ 15 ff. AktG verbundenen Unternehmen geschützte Inhalte abrufe, muss ich mich mit weiteren Daten für den Zugang zu diesen Inhalten registrieren. Im Gegenzug für diesen gebührenlosen Zugang zu redaktionellen Inhalten dürfen meine Daten im Sinne dieser Einwilligung für die hier genannten Zwecke verwendet werden. Dies gilt nicht für den Datenabgleich zu Marketingzwecken.
Recht auf Widerruf
Mir ist bewusst, dass ich diese Einwilligung jederzeit für die Zukunft widerrufen kann. Durch meinen Widerruf wird die Rechtmäßigkeit der aufgrund meiner Einwilligung bis zum Widerruf erfolgten Verarbeitung nicht berührt. Um meinen Widerruf zu erklären, kann ich als eine Möglichkeit das unter https://contact.vogel.de abrufbare Kontaktformular nutzen. Sofern ich einzelne von mir abonnierte Newsletter nicht mehr erhalten möchte, kann ich darüber hinaus auch den am Ende eines Newsletters eingebundenen Abmeldelink anklicken. Weitere Informationen zu meinem Widerrufsrecht und dessen Ausübung sowie zu den Folgen meines Widerrufs finde ich in der Datenschutzerklärung, Abschnitt Redaktionelle Newsletter.
In einem dritten Schritt wird Collaborative Filtering genutzt um Vorherzusagen, welche weiteren Anforderungen die Stakeholder wünschen oder ablehnen. Dabei nutzt der Algorithmus eine Ähnlichkeitsmessung zwischen den Stakeholder-Profilen und liefert Anforderungen zurück, die für einen Stakeholder wahrscheinlich relevant sind. Auch hier kann der Stakeholder die angebotenen Anforderungen wieder bewerten, ablehnen oder neue hinzufügen.
In einem letzten Schritt werden alle Stakeholder-Profile zu einer priorisierten Anforderungsliste aggregiert. Die Priorisierung der Anforderungen erfolgt mittels mathematischer Berechnungen. Evaluiert wurde die beschriebene Methode im Projekt RALIC am University College London mit einer komplexen Stakeholder-Basis von 60 Gruppen und mehr als 30.000 Einzelnutzern.